Sample Size Calculation

Sample Size

Sample size calculation plays a very important role in statistical analysis.  Sample size calculation refers to how much data we need for particular research to make a correct decision.  If we have more data, our decision will be more accurate. Consequently, there will be less error in the parameter estimate.  Several factors affect sample size calculation, including the type of data, the power of the sample size, the technique used for analysis, the marginal error, the level of significance, the standard deviation, and missing values, among others.  First of all, we should consider the type of data level and the measurement of a specific sample size. There are four types of data levels:

ratio data.

nominal data;

ordinal data;

and interval data.

Nominal data is categorical, ordinal data involves ranks, interval data has intervals between cases, and ratio data is continuous, allowing for all analyses. When calculating sample size, you must consider the significance level (alpha). For example, in a two-tailed test, an alpha of 5% corresponds to a value of 1.96. Marginal error is the acceptable error for a sample size. For continuous data, with alpha at 5%, SD of 1.167, and marginal error of 0.21, you can calculate the sample size using the formula:

N=

Need help with your project? Leverage our 30+ years of experience and low-cost service to make progress on your results!

Schedule now using the calendar below.

N= sample size

t= level of alpha

S= standard deviation

D= marginal error

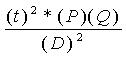
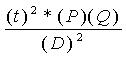
When the data is categorical, then we can use the probability of method instead of the standard deviation.  For example, when we have two categories for samples, then we can use .5 probability of the first category and .5 probability for the second category.  We can use the following formula in the case of categorical data:

N=

t= level of alpha

P= probability of event happening

Q= probability of second event happening

D= marginal error

Techniques of Sample size calculation

Sample size calculation varies by technique. For comparing two populations, use a t-test if the sample size is under 30. On the other hand, if the sample size exceeds 30, you should use a Z-test. In regression analysis, aim for 10 cases per independent variable. If the sample size is too small, decisions may be incorrect. Categorical data, lower alpha levels, and smaller populations require larger sample sizes. Missing data also increases the required sample size. In ANOVA, the number of covariates depends on the sample size, and higher variance calls for a larger sample. Sample size also depends on power; specifically, more power requires a larger sample size.

For information on statistical consulting services, click here.

Intellectus allows you to generate your sample size write up in seconds. Click the link below to create a free account, and get started now!