Mann-Whitney U Test

Mann-Whitney U test is the non-parametric alternative test to the independent sample t-test.  It is a non-parametric test that compares two sample means from the same population and tests whether the two sample means are equal. Researchers usually use the Mann-Whitney U test when they have ordinal data or when they cannot meet the assumptions of the t-test.

Sometimes, interpreting the Mann-Whitney U test is difficult because the results present group rank differences rather than group mean differences.  The Intellectus Statistics tool interprets the analysis in plain English!

Assumptions of the Mann-Whitney:

Mann-Whitney U test is a non-parametric test, so it does not assume any assumptions related to the distribution of scores.  There are, however, some assumptions that are assumed
1. The sample drawn from the population is random.
2. Independence within the samples and mutual independence is assumed.  That means that an observation is in one group or the other (it cannot be in both).
3. The data assumes an ordinal measurement scale.

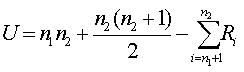
Where:
U=Mann-Whitney U test
N1 = sample size one
N2= Sample size two
Ri = Rank of the sample size

Use of Mann-Whitney: 

Researchers use the test in every field, but they frequently apply it in psychology, healthcare, nursing, business, and many other disciplines. For example, in psychology, it is used to compare attitude or behavior, etc.  In medicine, researchers use it to compare the effects of two medicines and determine if they are equal. They also use it to test whether a particular medicine cures an ailment.  In business, companies use it to understand the preferences of different people and see if location affects those preferences.

Need help conducting your Mann-Whitney U test? Leverage our 30+ years of experience and low-cost, same-day service to complete your results today!

Schedule now using the calendar below.

Types of question examined using the Mann-Whitney U

Good questions answered by the Mann-Whitney are examining rank differences.  For example,

Did the horse racing finishes differ by horse sex (male vs. female)?

Does the rank order of university preferences differ by geographic region of student (urban vs. rural)?

Related Pages: